Gotta Solve ‘Em All!
An MIT Mystery Hunt 2026 Retrospective
I did the MIT Mystery Hunt!
Since I explained what a puzzlehunt is and my relationship with the medium in a previous post, this time I’ll focus on what Cardinality, the writing team, did to set MITMH 2026 apart, as well as LAF’s unique experience.
Before
My invitation to the hunt arrived from (what else) a Bay Area house party.
Through Betaveros, I met some friends who invited me to hunt with Literally Animal Farm (LAF), a relatively new team that nevertheless has many puzzlehunt veterans. As a long-time devotee of the MIT Mystery Hunt, I couldn’t miss such a fantastic opportunity.
And so I flew to Boston…
We woke up mid-morning on Friday to eat at Flour, a long-time puzzlehunting tradition, and meet up with some friendly folks from Galactic. Soon it was kickoff time.
The main purpose of the MITMH kickoff is to explain the rules and the “plot.” I’ll explain the scare quotes shortly.
The story initially unfolds around the prestigious CRYPTIC conference, an assembly of elite cryptid researchers from around the world. There are rumors that this year, a professor will bring a mysterious egg… the first cryptid object ever recovered.
Meanwhile, agents from the MIT, a parody of the SCP Foundation, covertly vie for the egg in an attempt to keep knowledge of cryptids away from the public. We puzzlers have been recruited by the MIT to get into the conference and steal the egg. But in order to access the conference, we need to solve the puzzles CRYPTIC uses to test the brains of potential attendees.
That’s the plot presented by the pre-hunt Mystery Hatch, an easier “fish” round designed to warm up MITMH attendees. Solving Mystery Hatch in the days leading up to the hunt definitely put me in the puzzling mindset, and the puzzles are easy enough that one person can tackle them… unlike the dragons we slayed during the hunt itself.
Of course, if you’re a veteran hunter, you’ll know everything I just said is almost irrelevant. MIT Mystery Hunts traditionally open with a deliberate feint: an apparent theme is announced and carefully established, only to be overturned at kickoff, when the real theme of the Hunt is finally revealed.
Sometimes the true theme is totally unrelated to the fake theme, as in 2018. Other times, they are almost rhymes of one another, as if the fake-out is a distorted image of the true theme. Happily, this year’s hunt belonged to the second type.
During this year’s kickoff, the MIT and the conference leader vied for the egg. A slapstick struggle ensued and the egg broke, hatching into an adorable little marketing opportunity named The Child.
The cryptids, roused by the appearance of one of their own, open a portal to another dimension. In order to close it, we’ll need to curry the cryptids’ favor and befriend them by solving puzzles. In fact, these creatures love a good puzzle so much, one could even call them Puzzle Monsters— or Puzzmon for short!
That’s right, it’s a Pokémon-themed hunt. Like any good puzzlehunt writing team, Cardinality went above and beyond in creativity by making 88 Puzzmon with creative and often funny designs. Hawk Tulpa was the favorite of many; I am personally partial to Felixoth. It’s a theme so good I’m amazed it hasn’t been done already. One LAF member actually predicted this before the hunt, but said it wasn’t likely because Silph Hunt exists. I’m happy they were wrong.
Some PuzzMon, as shown by the MonArch
During
We marched over to our assigned building. Opening our laptops, we discovered that Cardinality had done immense work on the infrastructure of this hunt. I would love to link to specific parts of the website, but unfortunately right now it’s only accessible to registered teams. Cardinality says they’re in the process of archiving the site— when they do, I definitely recommend you go through it, because it’s very nice.
A nearly-full map of the Hunt. The main island is home to the Puzzmon kingdom, which has nine sections and a meta. Around it are the six dimension rounds.
Incredibly, every region includes a 2D video game with challenges that unlock puzzles.
Monquest, a classic Pokémon game parody. One of the best parts of the hunt.
Another aspect to this hunt was the points system. Unlike a traditional hunt where puzzles are the only thing to do, Cardinality had teams perform research tasks in addition to puzzles. Tasks were wacky little actions or events like imitating Pokémon cards, arranging food items to imitate a Puzzmon’s appearance, and making paper airplanes. Doing tasks helped teams earn research points that they used to unlock new puzzles and progress to new regions. The puzzles were hinted by short descriptions, a nice touch that helped teams decide what to unlock.
Puzzles had short descriptions.
I helped with the grunt work on quite a few puzzles, but as a less-experienced member I struggled to reach the “aha”s. Quite a few times I was scooped when a friend and I were working on a puzzle together and another subgroup independently zoomed past us, quickly and quietly rendering our efforts moot. On a team of 90 people solving over 200 puzzles in only 2.5 days, this is unavoidable.
Events
The events were a great way to unlock teams’ creativity. People with skillsets as diverse as art, programming, and athletics all had something to do.
My first event was “pictograms.” Though the description asked for someone who could draw, this was revealed as a fake-out when the teams had to play a game of telephone by arranging board game pieces to suggest words, like arranging two Uno cards to suggest “dos,” and arranging chess pieces to suggest “checkers.” You can imagine how well we did with this.
The second event I did was the Puzzmon spelling bee with fellow LAF hunter seanm. We studied the Puzzmon spellings and specialized each in a particular category of Puzzmon. The event was surprisingly engrossing since many of the Puzzmon have deliberately obscure spellings: for example, we had to memorize that “Grrrrrrravelax” has precisely seven r’s.
Remember, there are only three Ls in Bbluurrbibell.
It was clever and slightly mysterious that the Puzzmon had so many puzzles and puzzle affordances linked to them: not just the strangely obscure orthography, but also attributes like Big Garff’s number of stripes and even the number of eyes on the Elder Ridge Puzzmon.
The Later Hunt
Once we had befriended over half of the Puzzmon in the Kingdom, a portal to a new dimension opened, unlocking a new round: The ▮▮▮▮ ▮▮ ▮▮ ▮▮M▮ . Sorry, I only worked on one puzzle in this round so only one letter of text is unlocked for me.
That’s how this round worked: all alphabetic text was censored, and teams “unlocked” the letters one-by-one by completing each of the twenty-six puzzles in the round.
This was the first of six “dimension” rounds, each of which was unlocked after quite a few puzzles and which collectively represent the second, more difficult part of the hunt. The plot unfortunately takes a backseat at this point, as this was clearly the time when they just wanted to squeeze in as many cool puzzle ideas as possible.
This leads us to why I said “plot” in scare quotes earlier. Unfortunately, I cannot praise the plot very much. Many characters disappear almost as soon as they are introduced, and many plot points are barely explained or are obviously only there to facilitate some aspect of the puzzlehunt. A plot that is just duct tape to hold the hunt together is hardly a plot at all. Given the great effort Cardinality spent on art and writing for this hunt, it would have been nice to see stronger storytelling.
After
Near to midnight we had the final runaround, in which we solved yet another barrage of puzzles and saved the Kingdom of the Puzzmon.
LAF performed very well, with the help of a 90-person team (roughly 40 in-person, 50 online) and many others. For the first time, we even finished the puzzlehunt during the hunt itself! This is very hard to do given the required velocity. We were the 8th out of 15 teams to finish
Metas Solved Over Time
Puzzles solved over time.
I recommend watching the full wrap-up video for more.
According to our team captain, last year we had the potential to finish but lost steam.
We earned our finish with better focus. Our practice over the year by doing the Galactic Puzzlehunt, ECPH, Teammate Hunt, and other small hunts kept us sharp. Finally, the addition of a few excellent hunters — like Syntax— to the team this year also helped push us over the edge.
The biggest advantage this year, however, was our night team. For the first time this year, we had a strong night team deployed largely in Asia. Waking up and seeing multiple metas solved and new rounds unlocked kept morale up.
Favorite Puzzles
Tortured Programmer’s Department
My favorite dimension was the Land of Mosaics, a round comprised of puzzles on a hexagonal grid. The main puzzle I worked on in this was the Tortured Programmer’s Department. This was a series of Taylor Swift-themed Hexagony puzzles which asked you to fill in programs in the hexagon-based esolang Hexagony with the provided symbols, in order to do some unspecified task that went with the Taylor Swift song the puzzle was named after.
We still haven’t finished one of them.
Having had an esolang phase when I was younger and being already familiar with Malbolge, I was very happy to see this popping up and worked on a lot of programs. It’s a good example of how Mystery Hunt teaches you new things. I know Hexagony now!
Puzzmon: The Card Game
I also enjoyed the Elder Ridge meta (to know what sort of Puzzmon reside in the Elder Ridge, just gibber the region name quickly.) For this, Cardinality made an actual Puzzmon card game, complete with cards for every Elder Ridge Puzzmonand a set of dice! I may write an analysis of the game later, but know that it had a very good puzzle.
Puzzmon at Monday lunch.
Combative Felines
Sniper immediately parsed this as hinting “Warrior Cats”. Looking at the puzzle itself should remove any doubt.
We are given a family tree with lines of ten different colors and a legend at the side to teach us what these colors mean. Matching the nodes with Warriors characters and the colors with relationship-types makes it pretty easy to solve this puzzle and index into it. I think I contributed more to this puzzle than any other— despite not having read Warriors as a kid, I was able to get plenty of mileage from trawling the wiki. Extraction is simple and elegant: you just read the puzzle like a book.
The Celeste Puzzle
I will finally speak on the first puzzle we solved in the Land of No Name. Its official name is a sequence of three emojis but I will call it “The Celeste Puzzle.”
The Celeste Puzzle presents us with a formal language made of mathematico-numeric symbols and emojis. Not having letters, the gimmick of the dimension was not an impediment to us, and therefore we were able to solve it fairly easily.
The title makes it pretty easy to surmise that the puzzle is about Celeste.
From there it’s only a small leap to figuring out that it is describing the Celeste game in a formal language. Our task was to figure out what each symbol and symbol sequence meant, and use this to answer the questions at the bottom. Quite interesting!
Once Cardinality sets up the archive site, I recommend looking at the author’s notes to this puzzle. It depicts well the process of building a video game puzzle that is still fun to solve for people unfamiliar with the source material.
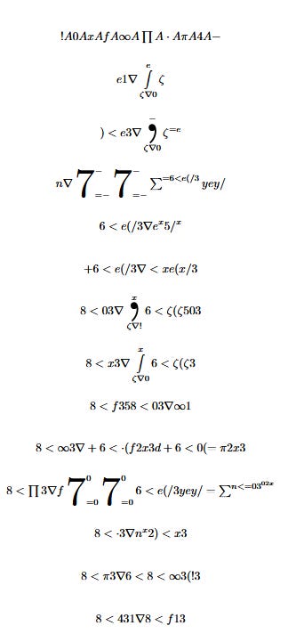
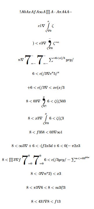
Method to the Mathmess
The whole puzzle
My favorite puzzle from this hunt was Method to the Mathmess. It is remarkable in its beauty and simplicity. You are presented with a series of scrambled-looking lines of math. You don’t need Legrand-like wit to figure out this is a monoalphabetic substitution cipher… or perhaps I should say monomathematical, since the ciphertext uses math symbols.
You can see this by noticing how certain symbols are arranged in a way that implies mathematical logic if the symbols were slightly different. For example, at one point there is the integral operator, but in place of the true integral symbol there is a number seven. This tells us that the operative position of integration is being fulfilled by the number seven here. This is a really fun puzzle. In solving it, I assisted Adalbert Zollern, who dazzled me with his ability to untangle the symbols in mere minutes.
The unscrambling is the main part of the puzzle. There are a few more surprises in there, and the extraction is pretty delightful in itself, but I won’t spoil those goodies for you.
This puzzle is also great because it unlocks Felixoth, and Felixoth is great.
Kitty!
In Defense of Long Puzzlehunts
In preparing to write this post, I looked at Eric Berlin’s and Dan Katz’s posts on MITMH 2026. They both wrote that the hunt was too long. Berlin calls for a hunt short enough to allow “dozens of teams to cross the finish line”, as opposed to the 15 that actually did.
MITMH has indeed grown longer and longer with each year, as a quick glance through the archives reveals. The 2010 hunt, only sixteen years ago, had less than half as many puzzles. I can see why veterans find this frustrating. The puzzlehunt experience today is necessarily different than the one they experienced when they were new to the art form.
Change and decay are different things, however, and there are many reasons why I don’t think MITMH should be artificially shortened.
The Arms Race of Puzzlehunting Tech
The first ever Mystery Hunt looked like this:
That’s it. Each puzzle gives you a word, and these can can be combined at the end to find the coin.
Looking at the page, my first thought is how trivial these puzzles are today. Putting aside campus-specific puzzles like #6, most of these are solvable by a novice in minutes— some, like #3 and #7, are one-shotted by Google.
The puzzles aren’t bad. What their modern triviality reveals to us is that puzzles must be designed with reference to the puzzle-solving tech available to solvers. In 1981, #11 (for example) is a legitimately difficult puzzle. You’d need to find someone who can read Chinese, or a dictionary, and if using a dictionary you would need to know that it’s organized by radical, etc. Nowadays OCR solves it in seconds.
The rise of search engines and easier programming represented what was, until recently, the most important shift in puzzle-solving tech. However, since then there have been even more advancements that continue to give teams more and more firepower. Crossword solvers mean crosswords must be either trivial or hyperobscure. Nutrimatic is so good it feels like cheating. Spreadsheet tech, now customized and used by all top teams, makes it easy to organize information. The low-latency nature of the modern internet makes mass collaboration far easier, allowing teams to balloon into over 100 people solving across the globe, 24/7.
If the hunt is to end roughly 55 hours after kickoff, which has been the goal from the beginning, the puzzles necessarily need to increase in difficulty in tandem with improvement in puzzlehunting tech, leading to an arms race in difficulty.
In his review, Dan Katz does a good job illustrating what this arms race looks like to a veteran solver:
“… I think it’s fascinating to compare the scope of any recent Mystery Hunt with, say, the first Hunt I wrote for in 2000. What qualified as a puzzle back then would barely take most teams ten minutes in 2026; for example, one of my puzzles was basically a nonogram that you read in Braille, and that was it. Another involved sorting a bunch of five-letter strings as if they were poker hands and reading the resulting acrostic. Yet a Hunt with less than fifty of those “puzzles” took teams until Saturday night, and this year a Hunt with 200+ exponentially more involved only took a team about 40% longer.”
An Encomium for High Summits
I don’t think this escalation in difficulty is a bad thing.
MITMH isn’t a normal puzzle hunt— it may have been the first, but it’s no longer typical. It’s the flagship, the Everest, the highest of them all. It is not, and never has been, designed to be easy.
For every skill set, there is an arena in which performers perform at the absolute, most extreme level. For athletes, it’s the Olympic Games, for scientists, it’s prestigious journals and labs, for artists, it’s the highest medals of their respective nations. For puzzlehunting, it’s MITMH.
If MITMH wasn’t extremely difficult, it’s unlikely any other puzzlehunt could be… no other would have the history, the cachet, and the sheer volume required. I think it’s a terminal good to have certain ridiculously high challenges for people. As I said in the Bishop’s Castle essay:
“It is good to make your highest ambitions very high indeed. Just like stretching a rubber band a great distance results in greater tension in the cord, stretching your ambitions as high as possible inspires more ardent action.”
MITMH is supposed to stretch you. If you don’t finish this year, that teaches you to stretch yourself further so that you will finish— exactly as LAF did.
There’s also the logistics question. If MITMH was shorter, the first team to get the coin would do so on Saturday afternoon or even morning… meaning there would be a long “lame duck” period where the hunt is over but wrap-up has not yet begun. The fact that this year’s hunt ended on Sunday afternoon—right “on time”— is great evidence that it was the right length.
For those who were frustrated by the length, there are plenty of shorter, easier hunts for those who want them— Silph hunt and Galactic, to start with.
Finally, remember that we’re just talking about finishing during MLK Junior weekend. Even teams that don’t finish during the weekend can still clean up the last few puzzles afterward, and in fact many teams do this. There’s nothing wrong with not wanting to push yourselves hard enough to finish in an arbitrary time frame.
In conclusion, MITMH 2026 was great and I had a great time. Good job Cardinality and good luck Providence. You will need it.




















